拉矫机组生产线电控系统
拉伸弯曲矫直的根本特点是能在张应力水平远低于材料屈服极限的情况下而使带材产生塑性延伸。在弯曲矫直辊作用下的很小一段带材是处在塑性状态,而在张力辊之间的其余部分仅产生弹性变形,即使在带材产生塑性变形的区域内,也总是只有一小部分带材截面处于塑性变形状态,因此不容易出现在带材边部的缺陷处断带的危险。所以拉伸弯曲矫直的手段特别适用于薄板带材,带材在较之前不需切边,而其延伸率很小(0.02%-0.2%)因此所需的矫直张力比单纯的拉伸弯曲矫直时小很多,因此张力辊组需要输出的转矩也相应较小,从而保证了带材的板形和材料物理性能。


图一:拉弯矫直机布置图
延伸率控制主要作用是将实时检测出的带材实际延伸率值和给定的延伸率进行比较,当反馈延伸率大于给定延伸率时减小S4张力辊的转矩给定进而减小矫直张力;当检测值小于给定时,增大S4张力辊的转矩加大矫直张力,从而实现恒延伸率控制。由于机组延伸率很小(0.02%-0.2%),在弯曲和矫直压下量一定的情况下,转矩调整很小。
延伸率控制主要由两个环节构成,一部分是延伸率比较环节,另一部分是延伸率调节环节。比较环节的作用是比较实际延伸率和设定延伸率的差值,当差值的绝对值大于或小于误差死区时,系统延伸率控制自动使能或保持。
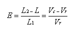
3. 延伸率计算
延伸率是指材料在拉伸后伸长量与原始长度的百分比。即
(3-1)
式中,E为延伸率;L1为拉矫前带钢的长度,mm;L2为拉矫后带钢的长度,mm;
在拉伸弯曲矫直时,影响带材延伸率的主要因素是:带材弯曲曲率和矫直张力。弯曲曲率又是由多次弯曲辊与多辊矫直辊辊径及其切入深度决定的,工作辊切入深度是由下辊座升降电磁阀及油缸调节的。在工作辊辊径确定的前提下,金属带材拉伸弯曲矫直工艺的主要因素便转化为矫直张力、矫直辊切入深度。
延伸率控制的基本原理可知,只有实时准确的检测出带材在拉弯矫直段的延伸率,才能对带材延伸率进行准确的控制。公式(3-1)虽然简单直接的给出了一种延伸率计算的方法,但是其只适合计算一段带材的平均延伸率,不利于实时计算延伸率,所以在实际中一般利用拉弯矫直机组出口和入口带材的线速度来间接的得到带材的延伸率,方法如下:
(3-2)
L为带材长度,m;v为带材线速度,m/s;t为时间,s;由公式3-1可得;
(3-3)
E为延伸率;Vr为矫直入口带材线速度,m/s;Vc为矫直出口带材线速度,m/s;
由上式可以看出,通过拉矫机出口和入口带材的线速度就可以得出延伸率,在本套拉弯矫直机组中,我们利用装在张力辊S4电机和张力辊S5电机上的编码器来检测电机的转速进而计算出矫直段入口和出口的线速度,进而得出延伸率。
当前拉矫机的延伸率控制方法主要包括,延伸率直接控制法和延伸率间接控制法两种。该机组延伸率采用间接控制法,主要是通过调整弯曲单元和矫直单元的切入深度以及微调矫直张力实现延伸率控制。其延伸率控制原理图如图二所示。

图二 延伸率控制系统框图
6. 矫直张力控制
拉弯矫直机组的矫直段的张力主要是由入口张力辊组3#(S1.1、S1.2、S1.3、S1.4)和出口张力辊组6#(S2.1、S2.2、S2.3、S2.4)的8根张力辊产生的,其中入口张力辊组3#总的输出转矩直接决定矫直张力的大小,出口张力辊组6#的主要作用是产生与3#张力辊组相应的张力,其方向与3#的张力方向相反,同时6#张力辊组控制全线的运行速度。
开卷机和卷取机均采用速度控制加力矩限幅的控制模式,为了保证在加减速及卷径变化的过程中,卷取张力恒定,本系统通过准确的计算带材卷径,对开卷和卷取机进行合理的空载转矩和动态转矩的补偿,实现了开卷和卷取机控制全过程的恒张力,进而保证了矫直段张力的稳定。

中文版
English
官方微信













阿里巴巴店铺